设为首页 | 收藏本站

“近零耗装配式摩天楼”如何拔地而起?中建四局给出硬核答案!

“近零耗装配式摩天楼”如何拔地而起?中建四局给出硬核答案!

 二维码 16


01





项目概况




中建四局科创大厦项目位于广州市天河区广州国际金融城东区,属于广州CBD核心区域,交通便利。项目用地面积6745㎡,项目建筑面积10万㎡,地下3层,地上36层,建筑高度176m,采用钢结构框架及钢筋混凝土核心筒结构体系,外墙主要采用单元式光伏遮阳一体化幕墙。


项目定位为“建筑科技典范、创新总部标杆”。通过建立低能耗设备系统,引入舒适的自然通风与自然光源,打造智慧办公系统,建设屋顶空中绿洲花园等现代科技方式,将项目缔造为广州金融城片区超甲级标杆写字楼。



02




智能建造




数字建造平台


重难点1:

项目为总承包管理模式,传统管理方法难度较大


解决方法


项目上线中建四局自主研发的数字建造平台,打造信息化、数字化、可视化的多类终端看板。平台业务板块分为指挥中心、BIM协同管理、资源、进度、安全、质量、双碳、监控、CIM+、云端建造管理十大核心模块。

实时管控现场进度,提高管理效率,弱化经验依赖性,降低项目投入成本。

图片

▲ 数字建造平台结构


组成模块

模块一:指挥中心

数据中台,提供项目管理决策支持数据。

图片


模块二:BIM协同管理

信息呈现,数据互联互通实现精细化管理。


模块三:资源管理

标准量化,实现流程标准化与计量精细化。


模块四:进度管理

动态对比,构建进度追踪与分析管理体系。

图片


模块五:安全管理

全面感知,提升项目安全风险防范能力。

图片


模块六:质量管理

过程管控,规范作业流程实现监管与追溯。

图片


模块七:双碳管理

低碳节能,实现项目全生命周期双碳目标。

图片


模块八:监控大屏

实时监管,全方位掌握项目情况与进度。


模块九:CIM+

线上监管,推动政企交流合作深度开展。

图片


模块十:云端建造工厂

智能建造,打造核心筒结构类工厂化施工平台。

图片



智慧建造技术

数字建造平台实时对现场施工进行监控,各核心模块计划应用20项智慧建造技术,目前已上线应用15项技术,具体包含用水用电监测、基坑临边监控仪、智能识别系统、智能电表系统、智能地磅系统、智能风控系统、无人机及智能航拍等。

图片

▲ 20项智慧建造技术

图片
图片

▲ 基坑临边监控仪              ▲ 智能地磅系统

图片

▲ 智能监测大屏                 ▲ 劳务实名制管理系统

图片

▲ 塔机安全监测系统           ▲ 视频监控系统

图片
图片

▲ 二级配电箱监测系统        ▲ 标养室监测系统

图片

▲ 全景成像测距系统          ▲ 碳排放管理系统   

图片
图片

  ▲ 深基坑监测系统            ▲ 高支模监测系统

图片
图片

▲ 大体积混凝土监测系统     ▲ 视频AI识别系统

图片

▲ 无人机巡检



云端建造工厂

重难点2:

项目工期紧,核心筒结构变化复杂


解决方法:

应用中建四局自主研发轻型顶模—云端建造工厂作为施工模架,其快速安拆体系能够根据结构变化进行快速调整,从安装到第一次顶升仅用时17天,目前实现4天一层楼循环施工速度,已安全顶升33次。



图片

▲ 云端建造工厂爆炸图      ▲ 云端建造工厂现场施工图


特点


特点1:新型模块化轻量化桁架单元快速拼装

①节约材料用量,用量减轻17%;

②方便加工生产,杆件数量降低30%;

③接头用高强螺栓和销轴连接,快速拆改;

④柔性设计理念,有效降低施工偏差影响。

图片


图片

▲ 轻量化桁架单元模型及现场拼装


特点2:新型高承载力附墙支撑系统

改变挂抓形式,降低附墙支撑系统作用点与剪力墙之间距离,削弱上部荷载对剪力墙形成的面外弯矩,在200mm厚剪力墙上实现超过140吨的单点承载力,满足设计需求。

图片


图片


图片

▲ 新型高承载力附墙支撑模型及现场安装


特点3:钢平台大空间类工厂化布置

设计充分考虑平面和垂直空间,集成挂架系统形成舒适高效的办公大空间,打造全封闭的类工厂作业环境。在平台内部设置控制指挥中心、临时办公和休息区域,集成通风降温系统,为作业人员和管理人员提供舒适的空间。

图片
图片

▲ 室外、作业区、办公区温度



图片

         指挥中心                    休息室                     综合室

图片
图片

▲ 云端建造工厂类工厂化大空间布局


特点4:建筑智能机器人协同高效施工

图片


图片


(1)钢筋自动上料机器人

实现钢筋自动计数并按规则码放至指定区域的机器人,塔吊将一捆钢筋下放至上料台区域,通过机器人的电机导链传动,自动批量完成钢筋规整及码放动作,码放速度 3秒/根,待计数达到设定数量后自动停止,随后钢筋抓取机器人进行后续操作。能够节省工人1名。

图片
图片


(2)钢筋抓取机器人

实现钢筋自动抓取及码放的机器人,负载达120KG,可从钢筋堆场中一次性抓取6-8根5m长的钢筋,并将之批量码放至钢筋转运机器人的槽盒内,完成自动放料过程,整个过程全自动化执行。相比传统人工,节省工人2名,能够连续作业。

图片
图片


(3)钢筋转运机器人

机器人由RGV轨道车、回转机构和下放机构组成。钢筋批量放置于机器人槽盒内后,RGV轨道车沿着钢轨运输至等待钢筋绑扎的墙体上方,随后竖转下放装置通过多层滑台机构的伸缩将钢筋下放至作业面。钢筋转运数量 6-8根/次,节省工人2名,减小劳动强度,易于管理。

图片


图片


(4)智能布料机器人

安装在云端建造工厂平台顶面,适用于高层建筑施工,降低劳动强度,节省工人2名和泵管拆除时间。通过控制液压油缸实现臂节的运动(伸展、折),与回转机构配合将混凝土输送到施工面。智能控制系统可根据浇筑作业需求、浇筑次序,自动控制布料机到达设定的浇筑点位坐标进行作业。

图片


图片


(5)智能振捣机器人

用于核心筒剪力墙混凝士振捣,由振捣棒、自动收放装置、RGV轨道小车组成。RGV小车沿着钢轨可移动至待振捣的剪力墙区域上方,通过可伸缩的线缆,将振捣头下放至墙体内混凝土进行振捣。线缆长度最大可延长至13米。整机体积小机动灵活、操作简单,节省工人1名和振捣棒盘整时间。

图片


图片


(6)桁架整平抹光机器人

用于建筑楼面混凝土的整平和抹光施工工艺。通过示教器对机械手进行预设记忆、程序编写和参数配置,录制运动轨迹后,机械手可按既定路线自主移动,一键完成混凝土整平、抹光作业。整平头和抹光头搭载着自动激光扫平系统、自调节系统,可消除困轨道高低起伏造成的误差。节省1名工人,作业效率12平方米/分钟。

图片
图片


(7)开合模机器人

用于建筑施工的外墙模板开合的轨道移动式机器人,其搭载3D视觉相机,可实现螺杆、背楞等特征的识别和定位,误差仅2mm,并根据3D相机的坐标定位控制机械臂依次拔出螺杆,拉拔背棱,同时系统配置激振系统实现开合模工艺。全程无需人工额外干预。节省1名工人,全过程自动执行,拉拔螺杆速度快于传统人工施工。

图片
图片


(8)移动巡检机器人

架设在作业层挂架的轨道上。观察混凝土浇筑过程、剪力墙钢筋绑扎过程和造楼机升降过程,通过视频画面和AI图像识别技术进行移动监控、安全巡检(穿戴反光衣、安全帽、人员跌倒、人员抽烟等行为规范)、质量巡检。可24h全天候自动巡检。

图片
图片


特点5:云端建造工厂智慧管控

数字孪生技术打造的管控大脑

针对云端建造工厂内部空间与建造高度优化设计的多制式融合、低时延通信组网系统




组成系统多线并行组装,快速完成安装


5.1开始吊装到5.16完成验收,5.17实现第一次顶升,历时17天,刷新顶模从安装到顶升最快纪录。

图片
图片

▲ 模板系统安装                ▲ 附墙座系统安装

图片

▲ 内挂架系统安装             ▲ 动力及支撑系统安装

图片
图片

▲ 钢平台系统安装              ▲ 外挂架系统安装

图片
图片

▲ 大空间系统安装          ▲ 云端建造工厂安装完成


优化施工工序,合理穿插作业,快速循环建造


优化施工工序,各专业施工合理穿插,水平竖向结构同步施工,云端建造工厂实现4天一层的循环施工。


图片
图片
图片

▲ 云端建造工厂内工人分层施工   ▲ 云端建造工厂顶升操控



BIM协同管理

重难点3:

设计涵盖专业多,各工序现场作业易发生碰撞


解决方法:

项目前期从设计方案阶段即开始采用全过程BIM技术,BIM应用系统将涵盖建筑、结构、机电、装饰装修等多个专业。以BIM正向设计为核心驱动项目,探索全过程管控最全应用。


2022年9月1日,市住建局确认将本项目作为广州市BIM正向设计试点之一。

图片


图片



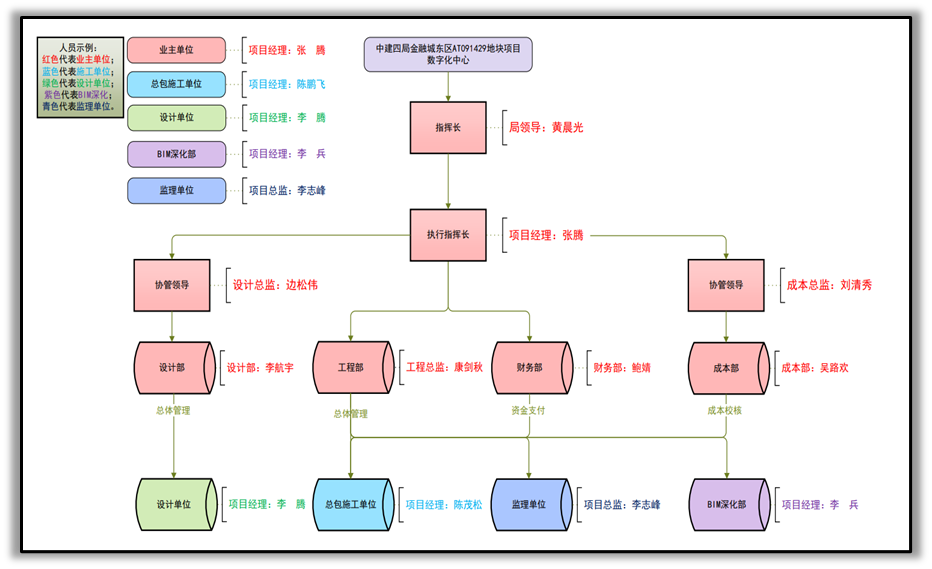
1. 搭建BIM设计管理架构,责任落实到人


局领导统领数字化中心

业主主导数字建造应用

多方参与数字建造实施

图片

▲ 数字化中心组织架构


2. 执行BIM设计管理流程,落实按摸施工


五方主体审核设计成果

深化前置解决施工问题

按模计量推动按模施工

图片

▲ BIM建造整体流程图


图片


▲ BIM模型五方线上审核          ▲ BIM模型审核意见及修改

图片

▲ BIM模型施工交底                 ▲ 现场按模施工


3. 基于BIM的资源管理


基于BIM深化模型提取工程量,对比自动采集的资源进出场数据,实时反馈模型量与实际量差异,分析材料使用偏差及原因,实现资源全过程动态管控。


4. 基于BIM的成本管理


编制工程量清单计量计价规则,利用BIM模型出量,生成成本数据进行核算,实现基于BIM模型的全过程造价管理。


5. 基于BIM的制造管理


选择B2层换热机房及B1消防水泵房进行模块化机房施工,采用BIM精细化建模、现场3D扫描、加工图绘制、工厂预制、整体打包运输及现场拼装,过程中运用二维码信息跟踪技术,实现“工厂预制与现场装配”高效结合。

▲ BIM三维深化设计           ▲ 模块划分

▲ 模块模型分解                 ▲ 加工图导出

▲ 管材下料                       ▲ 管道组装

                       


                       ▲ 二维码追踪


6. 基于BIM的界面管理


对重点施工程序进行BIM工序分解,明确各阶段、各单位界面交接,指导现场施工工序的穿插,加快施工进度。

图片

▲管井非预留二次砌筑施工       ▲ 管井内侧刮白

▲ 管井地漏安装                        ▲ 二次砌体内侧刮白




“碳中和”理念

重难点4:

项目定位“低碳节能绿色标杆”,应用“碳中和”设计理念,打造近零能耗建筑


解决方法:

项目采用“碳中和”设计理念,理念包含绿色设计、绿色建材、绿色施工三大技术相结合,以“双碳建筑”为目标,应用了大量新技术、新工艺,带动整个金融城东区推广双碳改造。



1、绿色设计-零碳博物馆


通过光伏发电系统,将太阳能转化为电能,为博物馆提供照明、通风空调等其他设备用电,在讲述建造工艺发展历史的同时,呈现未来建造技术发展方向。

▲ 零碳博物馆

▲ 实施情况投屏


2、绿色设计-电梯能量回馈系统


在电梯重载下行及轻载上行过程中,电动机处于发电状态,能量回馈装置将电能存储起来再利用,高效节能。

▲ 电梯能量回馈系统


3、绿色设计-建筑智慧幕墙


利用太阳能烟囱对空气的抽力,助力建筑室内形成微负压,实现室内自然通风;设置遮阳光伏电池板供电建筑博物馆,实现博物馆零碳排放;结合太阳光照检测系统控制遮阳帘,实现智能调光。

▲ 建筑智慧幕墙


4、绿色设计-装配式绿色设计


采用装配式换热机房、数据机房等技术将装配率由规划的70%提高到93.5%,达到广东省AAA级装配率标准。

▲ 装配式机房


5、绿色施工-净水系统


采用泥水分离设备,在专用泵的驱动下把泥水注入分离净化系统中,分隔后泥浆分离系统流出清冽的净化水,最经过滤后的泥巴将压实并且压成泥饼运输离开。

▲ 净水系统


6、绿色施工-碳排放监测技术


中建四局绿色建造碳排放监测管理平台是国内首个实现建造阶段全过程碳排放分时、分区、分类实时预测及动态监测的平台。分时碳排放统计建材生产与运输阶段、施工阶段、竣工阶段,分区域碳排放统计办公区、生活区、施工区、智慧建造馆等区域,分类碳排放统计建材、垃圾资源化、光伏发电、设备、能源等。碳排放从2022年4月至今,累计碳排放27666.97t,累计减碳4063.67t。

▲ 碳排放总览                  ▲ 碳排放分析

▲ 碳排放数据采集


7、绿色施工-低碳光伏集装箱式房


推行绿色办公,打造低碳节能绿色项目。办公区域采用绿色供电的低碳光伏集装箱板房,板房集成:(1)高性能围护结构,提高被动式节能能力,降低能耗37.67%;(2)节能耗用电设备,总体降低能耗9.03%;(3)BAPV光电能源集成系统光电转换效率约为18%;(4)智能控制系统(能耗监测平台、数据传输采集系统)。


▲ 低碳光伏集装箱模型        ▲ 低碳光伏集装箱应用



03




应用效果




社会效益

赋能观摩策划


项目陆续开展一系列观摩活动,并以高标准严要求的开展自查自纠及安全隐患排查,将规范化标准落实常态化,真正实现“建筑科技典范”目标。


PART

01

2023年6月17-20日,承办中建四局首届项目管理论坛现场观摩交流会与广州市安全观摩活动,与会领导嘉宾近400人参与此次观摩。

PART

02

2023年9月13日至17日,项目承办2023年广东省质量观摩活动,迎来300名行业人士观摩交流。

PART

03

2023年9月20日,项目承办2023年广州市智能建造观摩活动,迎来250名行业人士观摩交流。

PART

04

2023年10月12-13日,项目承办2023年国家级智能建造与数字化转型技术论坛暨项目观摩,迎来200名行业人士观摩交流。


图片



赋能宣传平台


项目在外部媒体累计宣传40余次 ,其中有省级以上主流媒体宣传达30余次。

今年2月携手属地社区开展“精诚·爱心岗”志愿服务活动走访慰问社区老党员及元宵节慰问工友活动,该活动被今日头条、南方工报、人民日报等6家外部媒体平台报道。


今年3月项目作为全国首座超150米高度近零能耗建筑项目冲出正负零,被中国新闻网、中国日报网、人民日报、中国青年号等7家外部媒体平台报道,充分发挥企业正向影响力。


深化交流新窗口


图片

国家住建部到访3次

厅级政府单位调研4次

市区级以上政府单位到访40次

集团各级领导赴项目调研5次


经济效益

采用智能建造手段会加快建造速度,减少施工成本,以取得良好的经济效益。以其中四项的预期经济效益分析为例

云端建造工厂钢结构单元精准预拼快速安装技术应用

传统安装需要45名工人安装20天完成;通过快拆安装技术,只需30名工人,7天即可完成,每个工 ( 8h)约300 元,预计可产生直接经济效益约20.7万元。通过标准化模块化加工,钢平台可连续周转使用,125t周转6次即可收回材料成本,预计效益92万元。

云端建造工厂系统中智能化建筑机器人技术应用

机器人具有较高工作效率,可以长时间持续作业。在短时间内,机器人可以完成大量的工作任务,从而大幅度减少了施工时间;机器人可以在几乎不需要人工干预的情况下完成工作,节约人力资源,用工量约为常规施工方法的1/3,大幅减少了人工成本。

数字化管控平台中加工运输全周期管理系统应用

安装成本按照当前钢结构年产品5万吨,钢材平均单价为5000元/吨计算,在采用加工运输全周期管理系统后,预计原材料损耗率可降低0.5%~1%,则一年节省原材料费用为5*5000*0.5%~1%=125~250万。

低碳光伏集装箱式房技术应用

以广州市单个标准打包箱房屋(3m×6m)为例,光伏设备日平均发电量约7度,电费0.8元/度估算,年节约电费约2044元。提高围护结构性能并优选用能设备后,虽然单个箱体的制造成本稍有增加(增加约0.2万元),但年节省电量800度,年节约电费640元。广东省单个打包箱房屋产品年运行费用可减少2684元,以1200平方米应用规模为例,年运行费用可减少约18万。



04




总结与展望




总结


以“建筑科技典范,创新总部标杆”为定位,项目应用领先的建筑科技、智能绿色低碳元素,精诚打造“科技创新策源地”,以科技创新为引领,不断探索装配式建筑、绿色化建筑、智慧化建筑等先进技术,在创新中实践,将企业文化、未来总部的建筑特色、科技与智慧成果合为一体,全方位、多角度阐释建筑科技典范、创新总部标杆,将成为对外展示的重要窗口。通过持续科技创新,助力中国建造高质量发展,推动数字智能建造技术的示范应用。


展会新闻